欢迎光临开云官方网页版网站!
联系人:董经理
手机:18605344116
电话:0534-6065024
传真:0534-2178521
邮箱:dzdongrun@126.com
Q Q:1204918973
地址:山东德州武城县经济开发区
不锈钢系列产品
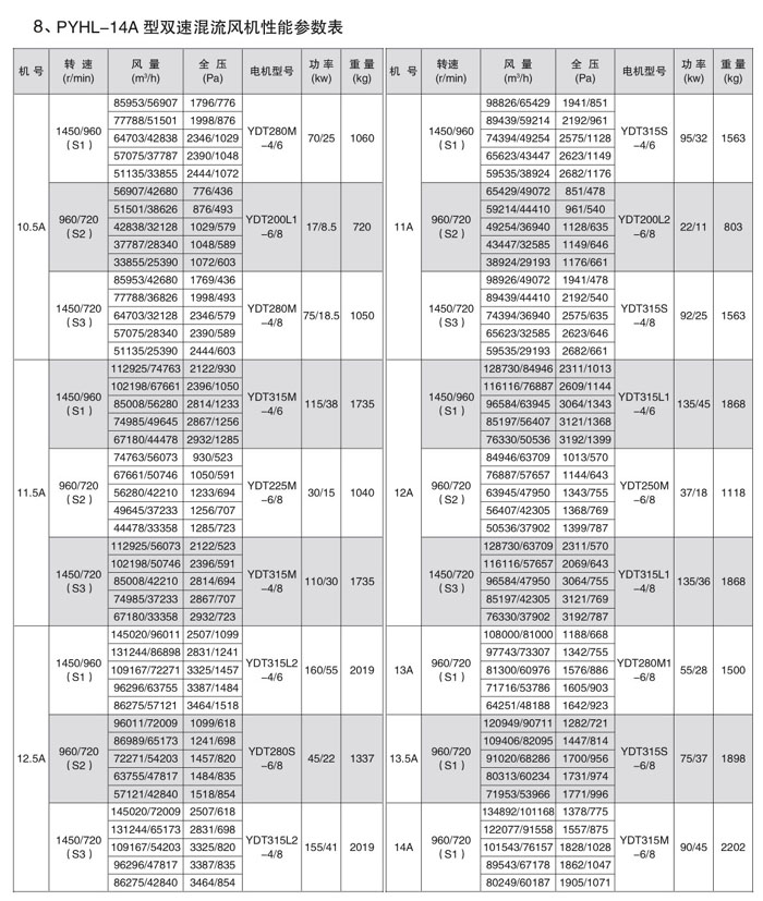
HL3-2A、PYHL-14A不锈钢混流风机

名称:HL3-2A、PYHL-14A不锈钢混流风机

详细信息
HL3-2A、PYHL-14A不锈钢混流风机是介于轴流风机和离心风机之间的风机,混流风机的叶轮让空气既做离心运动又做轴向运动,壳内空气的运动混合了轴流与离心两种运动形式,所以叫“混流”。
混流(斜流)风机,风压系数比轴流风机高,流量系数比离心风机大,用在风压和流量都“不大不小”的场合。它填补了轴流风机和离心风机之间的空白。同时具备安装简单方便的特点。

混流式风机结合了轴流式和离心式风机的特征,外形看起来更像传统的轴流式风机。机壳可具有敞开的入口,但更常见的情况是,它具有直角弯曲形状,使电机可以放在管道外部。排泄壳缓慢膨胀,以放慢空气或气体流的速度,并将动能转换为有用的静态压力。




















固话:0534-6065024

传真:0534-2178521

邮箱:dzdongrun@126.com

地址:山东省德州市武城县经济开发区

联系咨询热线

186-0534-4116

欢迎您来电咨询

主要从事于不锈钢风机,铝制风机,碳钢风机, 玻璃钢风机,消防排烟风机,欢迎来电咨询!
COPYRIGHT ©开云官方网页版 ALL RIGHTS RESERVED 备案号:鲁ICP备18012821号-2 技术支持:极速互联 网站地图